

Trump’s tariff tango, Act 2: Dancing in the dark
Astor Piazzolla’s famous Libertango is infamous for its rhythmic complexity. ’Libertango’ is a portmanteau of ’libertad’ (Spanish for liberty) and ’tango’, symbolizing Piazzolla's break from classical tango to a more liberated, innovative form. Likewise, when it comes to US tariff policy, the beat from the White House in anticipation of President Trump’s ’Liberation Day’ has been particularly difficult to catch lately.
Résumé
- Markets spooked as Trump’s tariffs package is bigger than expected
- Analysis shows they are likely to be self-defeating for US economy
- Retaliation expected from major trading partners such as the EU and China
Stock markets have been swinging around in response, as US trade policy uncertainty reached a new all-time high. Investors were left almost completely in the dark about the policy mix to be announced on 2 April. Would Trump announce reciprocal tariffs, or universal tariffs next to a 25% tariff on all imported cars into the US; and/or lift the USMCA tariff exemption on Canada and Mexico? What about sectoral tariffs?
Has the second act in Trump’s tariff tango, embodied by a signing event in the Rose Garden of the White House, brought clarity? Yes and no. The event left no doubt about his conviction that the US has been “ripped off” in the past, and that tariffs are the right policy path to ‘make America great again’ by rebuilding its manufacturing base. Yet, the event didn’t bring the much-needed clarity the market was waiting for, as the stagflationary twist from Trump’s policy agenda is only likely to be reinvigorated given the breadth of the announced package.
Policy package
The tariff package was punchier and had more breadth than the market had expected, as both universal tariffs as well as reciprocal tariffs were announced, alongside the 25% tariff on all cars exported to the US (the latter move being widely expected). There were no announcements on sectoral tariffs, but they will still be forthcoming. The Rose Garden package means the effective average tariff rate will surge to 22% from last year’s effective rate of 2.5%, according to estimates by Fitch Ratings. This would top the highest effective rate observed after the implementation of the Smoot-Hawley Tariff Act in 1930, bringing the US average rate back to late 19th century levels.

Source: Robeco Refinitiv, as at 02.04.2025
Auto tariffs: A 25% tariff on cars entering the US will be implemented on 3 April. This was largely expected by the consensus of analysts. A notable positive surprise, however, was that there was no escalation of tariffs for Mexico and Canada, as the exemption of the USMCA countries for reciprocal tariffs was upheld.
Universal tariffs: Trump announced a 10% universal baseline tariff on all imports entering the US to be effective as of 5 April. Though not as high as the 20% that had been initially circulating as a maximalist position during his presidential campaign, this was perhaps the least-anticipated announcement.
Reciprocal tariffs: Trump unveiled a table with country-specific, ‘kind’ reciprocal tariffs, as they purportedly are only half of what other countries charge the US on its exports. These will go into effect on 9 April. The aim of these reciprocal tariffs is to bring the bilateral trade balance to zero. While introduced as merciful, in fact these reciprocal tariffs are much higher than half of the existing tariff rate that other countries charge.
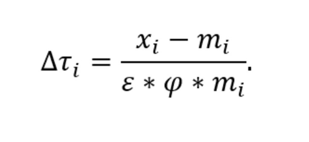
The formula used by the White House to calculate the reference tariffs is based on the ratio of the net bilateral trade balance surplus a country has with the US and its total exports to the US, as shown below.
As this ratio is 68% for China at the moment, the reciprocal tariff was determined at 34%. Based on this, China will now face an effective tariff rate of 54% – 34% on top of the already existing 20% rate – close to the 60% tariff which Trump has been campaigning for.

Source: The White House
These extremely high reciprocal tariff rates will trigger extensive negotiations and potential retaliation. In a Bloomberg interview following the event, US Treasury Secretary Scott Bessent tried to convey the message that these rates are the ceiling and won’t get higher, as long as there is no retaliation, offering a lower floor when countries were willing to enter negotiations. Yet, retaliation looms large, as the US’s largest trading partners, the EU and China, seem intent on retaliatory measures, even as EU President Ursula von der Leyen left the door open to negotiations. Japan and South Korea seemingly have hinted on adopting a negotiating stance.
Initial market reaction
The reaction after the market close was initially positive as the Rose Garden event began, but when Trump showed the table with the reciprocal tariff rates, the market clearly got the jitters and went into risk-off mode. In contrast to the trade tariff announcements during the first Trump administration, the dollar weakened and the euro strengthened. This shows the market is cognizant of the ultimate self-defeating impact of these tariffs for the US economy. As many economists have pointed out, trade balance deficits can’t be resolved through tariff policy.
Following the policy announcement, government bond markets continued to rally. German Bund yields also fell sharply on 3 April but remain approximately 30 basis points above end-December levels at the time of writing, highlighting that the economic impact of the trade war will be most significant for the US, while still factoring in the recently launched fiscal stimulus plans.
Yield curves are steepening significantly in many developed markets as a reflection of mounting inflationary pressures. Credit markets are widening, but the extent of this appears less pronounced than expected, given the pace of the sell-off in US equities. European credit spreads are widening in tandem with the weakening of EUR equities.
We are likely to see a notable contraction in global trade volumes on the back of recent developments. Our work on the correlation between global trade volumes and multi-asset performance shows that US Treasuries, gold and to a lesser extent, global credit, have been able to act as a hedge against contractions in global trade volumes. The recent dollar weakening is at odds with the historical track record here, as shown in the chart below.
Historical beta of 1Y returns to 1Y change in global trade volume

The beta sensitivity of cross-asset returns to changes in global trade volumes. Source: LSEG Datastream, Robeco. Past performance is no guarantee of future results. For illustrative purposes only.
Economic implications: what we are watching
Whereas a stronger dollar largely offset the inflationary impact of higher tariffs during the first Trump term, a further weakening of the dollar will only aggravate the upward level shift in inflation after their implementation in the near term. It remains to be seen whether Chinese and EU corporates are willing to reduce export margins by lowering their dollar prices in order to maintain their external competitiveness. If euro strength persists, this might be the case for some European exporters facing more elastic demand from US consumers.
Higher import prices: watch how corporates react
In the absence of these offsets, US import prices will likely rise further. This forces US corporates to choose between absorbing this input price level shock by accepting lower profit margins, or passing the higher prices through to their consumers to safeguard margins. To the extent that higher input costs are passed on to consumers, US CPI inflation will increase. Studies show that the pass-through rate during the first Trump administration was close to 100%, resulting in the US consumer carrying the full tariff burden.
If the consumer balks, which is entirely plausible given recent consumer surveys showing heightened consumer anxiety against a backdrop of depleted excess savings, and US corporates only achieve partial pass-through as a result, the squeeze in profitability is likely to see an elevated risk of rising US unemployment above 4.5%. Whereas our S&P 500 earnings forecasts going into 2025 were below consensus at 7%, the risks are now tilted to the downside to see an undershoot.
The earnings call updates from US corporates will be an important gauge to assess the ability to pass-through, as well as their willingness to expand capex. First indications from surveys among US small-and mid-sized companies in recent months showed an increased focus to raise selling prices in conjunction with lower hiring intentions. The latter may be a hedging strategy that signals their awareness about a lower degree of potential pass-through ability compared to 2018/2019 in the face of a more wary US consumer. For US exports, a further weakening of the dollar might be welcome, but retaliation might offset this improvement in terms of trade.
Bénéficiez de nos derniers points de vue
Abonnez-vous à notre newsletter pour recevoir des mises à jour sur les investissements et des analyses d'experts.
Will higher CPI lead to higher wages?
Estimates are for US core CPI to increase by 1-1.5% toward 2026 if we are to see a strong pass-through of higher input prices to end-consumers. Given that the US labor market is still around full employment, and job openings relative to the number of unemployed are still benign, there might be some wiggle room to see higher nominal wages, or at least sticky wages. This would leave the door open for reflexivity; a wage response to the tariff-induced level shift in prices which creates second-round effects, contributing to an acceleration in inflation.
Yet, our base case sees only a modest upward nominal wage response, given the late phase of expansion, a declining fiscal impulse, depleted excess savings and the further erosion of real disposable income. A strong negative labor supply shock delivered by net negative immigration, which could also boost nominal wages, looks less likely at this juncture. Interestingly, during the Rose Garden event, Trump signaled that migrants are welcome as long as they enter the US legally.
A weaker US consumer
If US consumers don’t manage to get decent compensation for the erosion of their purchasing power on the back of higher tariff rates, it is likely they will lower their demand, which has been running significantly above trend since the Covid-induced recession. While there might be some substitution effects as consumers increasingly shift to lower-quality discretionary goods/staples, or to cheaper domestic alternatives, the income effect will likely outweigh the substitution effect, in our view.
A weaker US consumption growth path lies ahead, which would likely initially see a significant undershoot of its 2% annualized real consumption growth trend in 2025. A weakening US consumer might be the most impactful transmission channel for the global economy on the back of these tariffs, leaving other countries relatively less worse off.
1930s redux?
Stagflationary headwinds are being reinforced near term. Yet, inflation might prove to be transitory, as many paths from here point to disinflation amid an elevated US recession risk. Are we then to see a 1930s redux? After the implementation of the Smoot-Hawley tariffs, the US (and many trading partners) experienced an episode of outright deflation and even an economic depression. In our view, this is less likely, as there is much more room (and willingness) for the Fed to ease monetary policy compared to the 1930s.
In addition, the Covid pandemic triggered a secular shift toward a more expansionary fiscal policy in an age frequented by negative supply shocks. The conjunction of easy monetary policy and expansionary fiscal policy in the wake of a forthcoming US soft path likely removes the danger of disinflation morphing into deflation. If anything, a forceful policy stimulus could be the harbinger of a second inflation wave further down the road. The steepening at the longer end of the Treasury yield curve is reflective of this risk.
Fed in a bind
This tariffs announcement is a prelude to potentially cumbersome negotiations which likely will keep the markets and central banks on edge for longer. Also, the wide range of the package shows that the market has to adjust the ‘Trump put’ lower, or has to start doubting its existence at all. In our 2025 outlook we foresaw a ‘treacherous landing’ for the Fed and this package, if implemented in its current form, only reinforces that message. We increasingly risk transitioning from a powerful stagflationary cross-current in an otherwise resilient US economy into a stagflationary twister.
Risks to our base case of a ‘no landing’ for the US economy are increasingly tilted to the downside, with our bear case of ‘waking up from a pipe dream’ gaining more traction, as the ironic twists from the Trump policy agenda – higher inflation while campaigning for lower inflation – become more apparent. Meanwhile, the odds of an escalating tit for tat trade war seem higher now than a week ago.
All in all, Trump’s Liberation Day isn’t exactly something for economists and markets to celebrate. It has not offered the clarity and direction the market was hoping for. If we’re dancing now, we’re dancing in the dark.
































